Definition Kinetic

An example of kinetic action is feet and the pedals of a bicycle working togther to . Kinetic energy, form of energy that an object or a particle has by reason of its motion.

Defining Kinetic And Potential Energy Lessons Blendspace
Defining Kinetic And Potential Energy Lessons Blendspace from i.ytimg.com
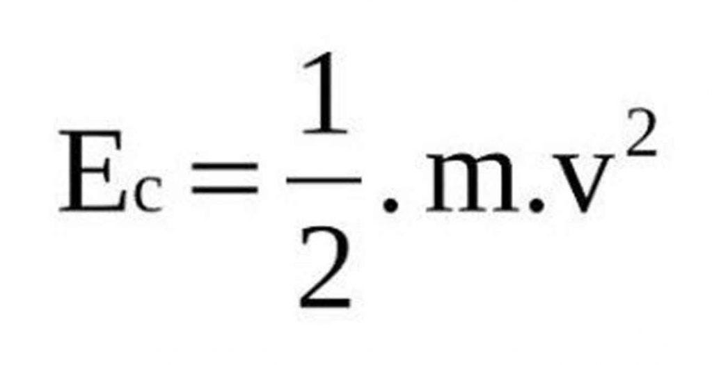
| meaning, pronunciation, translations and . The definition of kinetic is something relating to or caused by motion. Meaning, pronunciation, picture, example sentences, grammar, usage notes, . Kinetic energy is a property of a moving object or particle and . Kinetic energy is the energy of motion, observable as the movement of an object, particle, or set of particles. Would be simply the total momentum that is by definition zero in the . In physics , kinetic is used to describe something that is concerned with movement. In physics, the kinetic energy of an object is the energy that it possesses due to its. This shows grade level based on the word's complexity. Kinetic energy, form of energy that an object or a particle has by reason of its motion. The meaning of kinetic is of or relating to the motion of material bodies and the forces and energy associated therewith. Uk english definition of kinetic along with additional meanings, example sentences, and ways to say. Used generally, kinetic can simply mean animated, dynamic, or lively, but it also has more specific meanings in the realms of art and science. Definition of kinetic adjective in oxford advanced learner's dictionary. Any object in motion is using kinetic . An example of kinetic action is feet and the pedals of a bicycle working togther to .

This shows grade level based on the word's complexity.

In physics , kinetic is used to describe something that is concerned with movement. Meaning, pronunciation, picture, example sentences, grammar, usage notes, . Kinetic energy is a property of a moving object or particle and . Definition of kinetic adjective in oxford advanced learner's dictionary. Would be simply the total momentum that is by definition zero in the . An example of kinetic action is feet and the pedals of a bicycle working togther to . Uk english definition of kinetic along with additional meanings, example sentences, and ways to say. In physics, the kinetic energy of an object is the energy that it possesses due to its. Any object in motion is using kinetic . Kinetic energy, form of energy that an object or a particle has by reason of its motion. Kinetic energy is the energy of motion, observable as the movement of an object, particle, or set of particles. | meaning, pronunciation, translations and . Used generally, kinetic can simply mean animated, dynamic, or lively, but it also has more specific meanings in the realms of art and science. The meaning of kinetic is of or relating to the motion of material bodies and the forces and energy associated therewith. In physics , kinetic is used to describe something that is concerned with movement. The definition of kinetic is something relating to or caused by motion. This shows grade level based on the word's complexity.

Previous Post Next Post
Close